Royalties e participação especial: os valores distribuídos
Confira abaixo os valores pagos (em reais) em royalties e participação especial para os municípios e estados da área de abrangência dos projetos da Petrobras na Bacia de Santos.
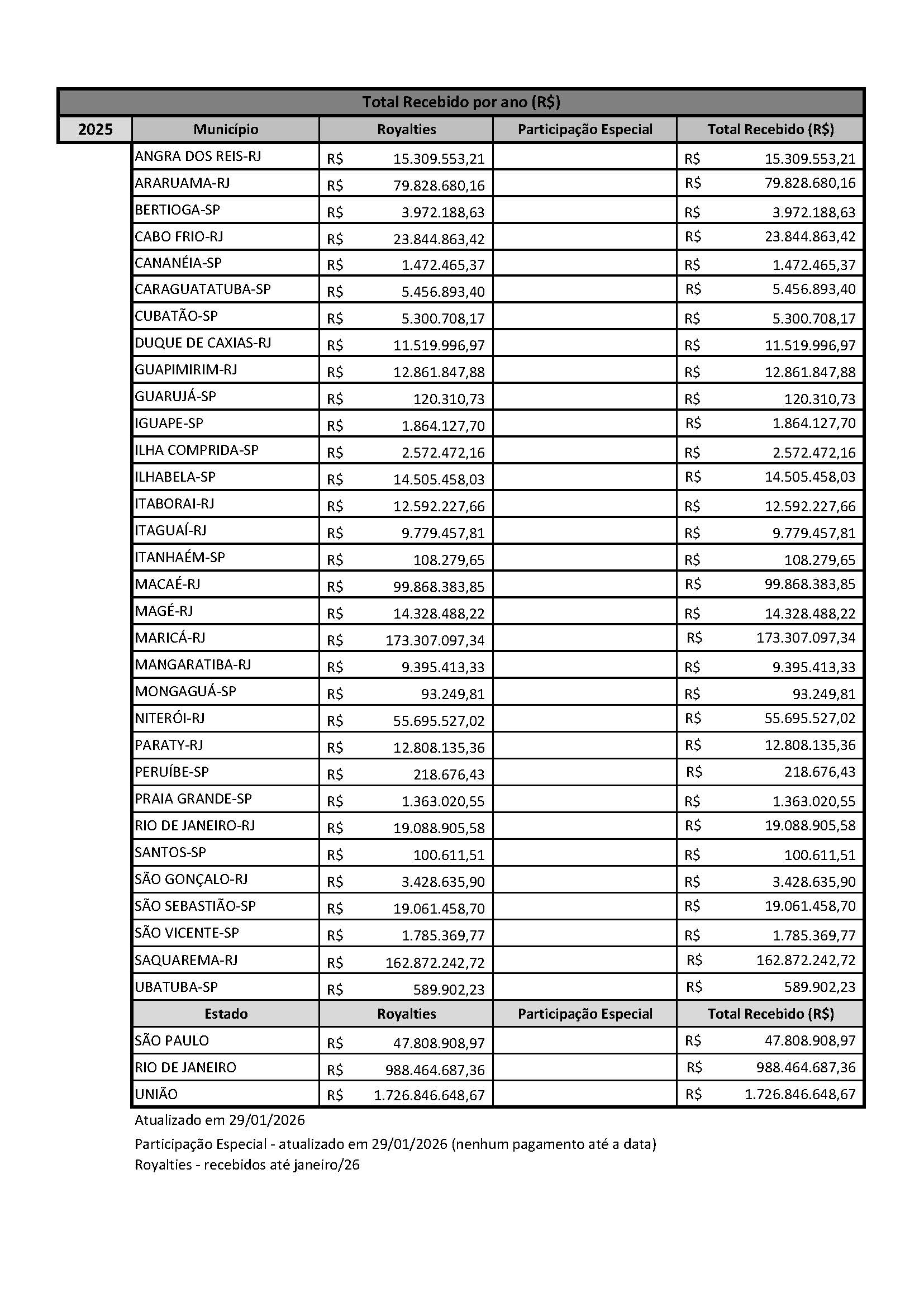
Histórico de valores pagos em royalties e participação especial (2010-2025)
Informações detalhadas sobre pagamento de royalties e participações podem ser encontradas no https://www.gov.br/anp/pt-br/assuntos/royalties-e-outras-participacoes
Clique aqui e confira em gráfico como foi a distribuição de royalties e participações especiais aos municípios da área de influência da Bacia de Santos de 2010 a 2021.
O que são royalties?
Os royalties são uma compensação financeira paga à União pelas empresas produtoras de petróleo e gás natural no Brasil como forma de compensar a sociedade pela utilização destes recursos, que não são renováveis.
Os royalties são calculados com base nos valores de produção dos campos e consideram o valor médio do produto no mês, além de outras variáveis.
A Petrobras, assim como outras empresas do setor, faz o pagamento dos royalties devidos à Secretaria do Tesouro Nacional (STN), que faz o repasse com base nos valores calculados pela Agência Nacional do Petróleo, Gás Natural e Biocombustíveis (ANP). Tais cálculos são realizados de acordo com as leis nº 9.478/1997 e 7.990/1989. Assim, não há intervenção das empresas produtoras na destinação desses recursos.
A distribuição dos royalties é feita entre estados e municípios brasileiros, ao Comando da Marinha, ao Ministério de Ciência e Tecnologia e ao Fundo Especial (administrado pelo Ministério da Fazenda, que o distribui a todos os estados e municípios do país, de acordo com critérios específicos).
O que são participações especiais?
Além dos royalties, que são pagos mensalmente, existe outra forma de arrecadação relacionada à produção de petróleo e gás: as participações especiais (que são uma compensação financeira extraordinária trimestral). Este valor, no entanto, é pago apenas para campos produtores de óleo e gás natural com grande volume de produção ou grande rentabilidade.
A participação especial é distribuída entre o Ministério de Minas e Energia (40%), Ministério do Meio Ambiente (10%) e estados e municípios produtores ou confrontantes com a plataforma continental onde ocorre a produção (sendo 10% para os estados e 10% para os municípios).
Qual o caminho dos royalties?
